气候预测对于农业、能源、公共卫生和基础设施规划等领域的科学决策至关重要。智协飞教授团队和新加坡南洋理工大学王靖宇教授等校外团队合作评估了 CMIP5 和 CMIP6 数据集对北太平洋、北大西洋、印度洋和热带东太平洋海温的年际预测能力。
在空间型预测方面,仅有 CMIP5 的 CanCM4 模式回报资料预测的太平洋年代际振荡(PDO)型与观测一致。尽管 CMIP6 模式未能精确回报 PDO 的空间型,却能较准确地预测北太平洋中纬度的海温。在北大西洋,除 CMIP6 的 CanESM5 外,其余模式都能再现与观测极为相似的大西洋年代际振荡(AMO)的空间型。
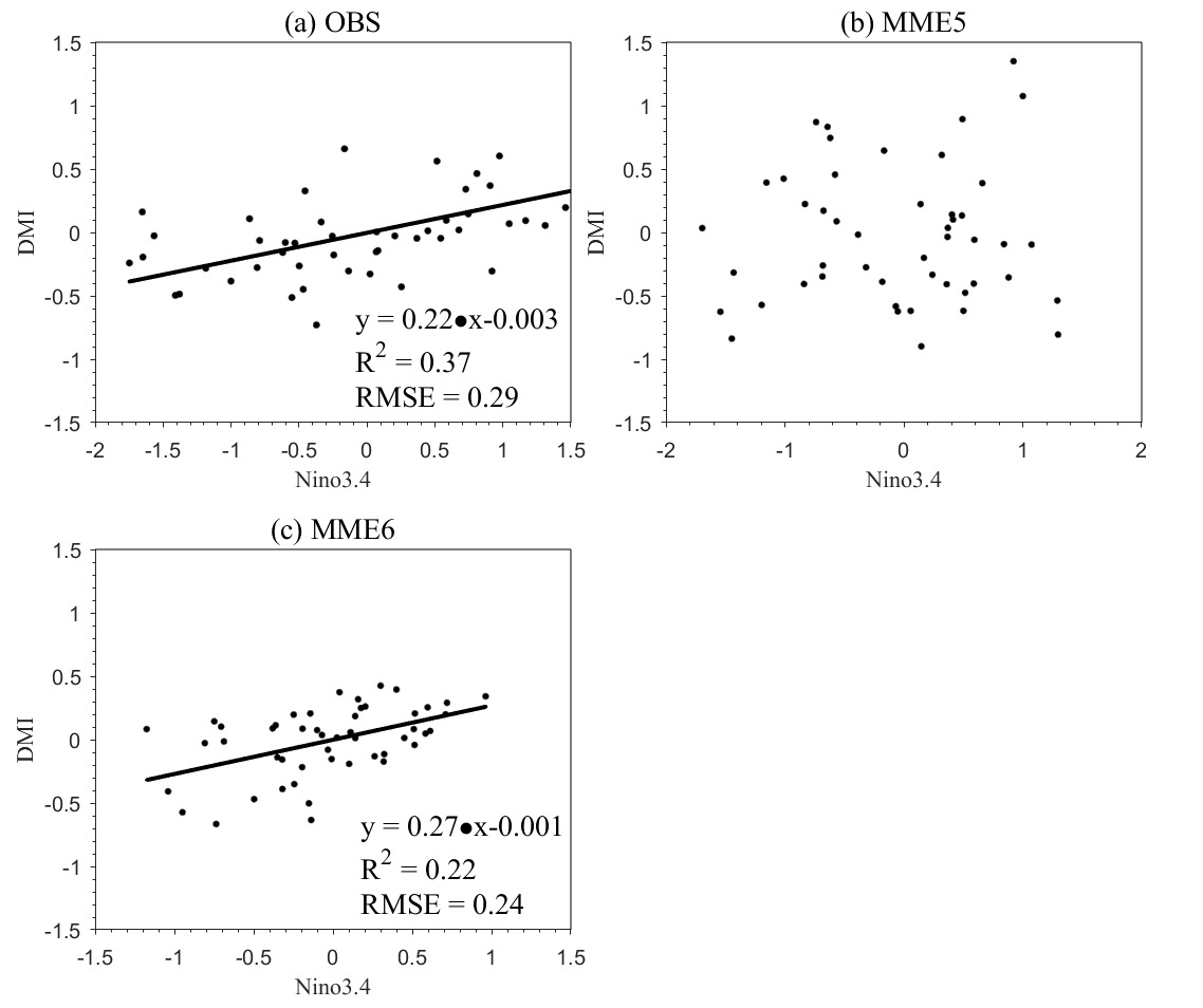
对印度洋和热带东太平洋的1年预测能力评估结果显示:在印度洋地区,CMIP6 数据集的海温预测性能优于 CMIP5。所有模式都捕捉到了印度洋偶极子(IOD)在9 -11月出现季节峰值的特征。值得注意的是,CMIP6 在预测 IOD 强度、均方根误差(RMSE)和相关系数等指标上均明显优于 CMIP5。对热带东太平洋的评估显示,从 CMIP5 到 CMIP6,其预测能力没有显著提升。相较于CMIP5,CMIP6对 IOD预测能力的提升主要体现在热带东印度洋(图1)。此外,CMIP6 中的模式能够成功模拟印度洋偶极子指数与 Niño 3.4 指数之间的强相关性,而 CMIP5 中的模式则不能,这凸显了CMIP6预测能力的提升(图2)。
论文最近发表在International Journal of Climatology, 论文第一作者是我院潘梦婷博士,智协飞教授为通信作者。

图1. CMIP5 和 CMIP6 模式1年预测的(a) WPI、 (b) EPI 和 (c) DMI 指数泰勒图

图2. 提前1年预测的Niño 3.4指数和DMI散点图,(a)观测,(b)CMIP5集合平均,(c) CMIP6集合平均
相关文献:
Pan M, Zhi X, Wang J, et al. Comparative evaluation of decadal predictions of global SST between CMIP5 and CMIP6 datasets.International Journal of Climatology, 2025,https://doi.org/10.1002/joc.8923